Samochód bezwypadkowy, z pewną historią oraz udokumentowanym przebiegiem!
✅W ofercie posiadamy jeszcze ponad 10 niewystawionych peugeotow partnerów:
-przebiegi od 80-220 tyś km
-skrzynia biegów manual/automat
-napęd 4×4/przód
Zapraszamy do kontaktu z działem sprzedaży!
════════════════════════════════════════════════
Peugeot Partner 4×4 2020 1.5 131km
➡️ Gwarancja bezwypadkowości oraz autentyczności przebiegu
➡️ Serwisowany w ASO | Elektroniczna historia serwisowa pojazdu
➡️ Cena brutto: 46_900zł (cena netto: 38_130zł)
➡️ Przebieg: 212_533km
➡️ VIN: VR3EFYHZJLJ767656
➡️ Data pierwszej rejestracji: 14.12.2020
➡️ Pełna faktura VAT 23%, zwalniająca Cię z opłaty skarbowej PCC (2% wartości samochodu).
➡️ Dla klientów z okolicy oferujemy bezpłatną usługę rejestracji auta w imieniu klienta – zakup bez stresu i formalności, oszczędź czas, nerwy i dzień urlopu!
═══════════════════════════════════════════════
Dlaczego warto wybrać ten samochód?
✅Opony premium Michelin z 2023 roku!
✅ Gwarancja bezwypadkowości – możesz mieć pewność, że twój nowy pojazd nie był uczestnikiem żadnej kolizji.
✅ Gwarancja pochodzenia – pełna transparentność w historii pojazdu.
✅ Gwarancja techniczna na rok – szczegóły poniżej.
✅ Gwarancja przebiegu – udokumentowany przez Norweski Urząd Komunikacji
✅ Historia serwisowa – elektroniczna, oraz fizyczna
✅ Każdy samochód przed trafieniem do sprzedaży jest dokładnie sprawdzany pod kątem usterek mechanicznych oraz stanu lakierniczego. Na zdjęciu widoczny jest arkusz badania powłoki lakierniczej, przedstawiający jej grubość.
═══════════════════════════════════════════════
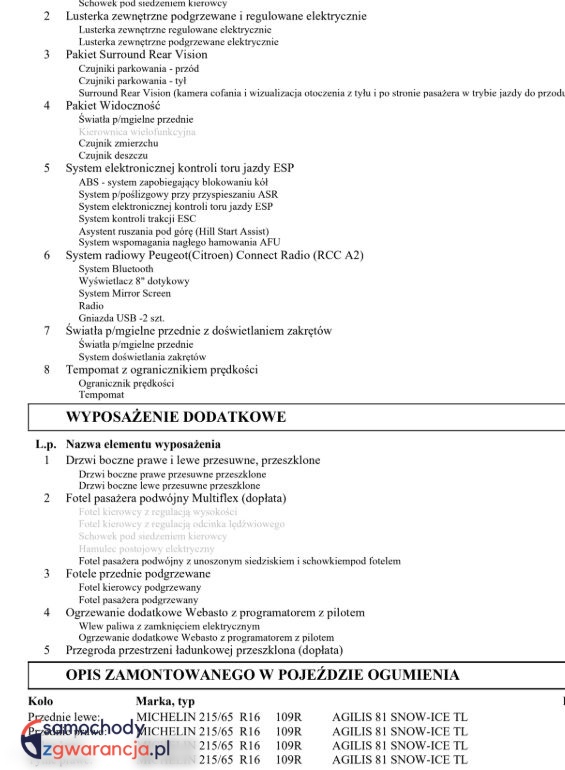
Specyfikacja:
✅ silnik 1.5l o mocy 131km
✅ dołączany ręcznie napęd 4×4
✅ manualna skrzynia biegów
✅ czujniki parkowania przód
✅ czujniki parkowania tył
✅ automatyczna klimatyzacja
✅ wielofunkcyjna kierownica
✅ tempomat
✅podgrzewane fotele
✅ przesuwne drzwi z obu stron
✅ el. szyby
✅ el. lusterka
✅ bluetooth
✅ radio
═══════════════════════════════════════════════
✅ Gwarancja GetHelp GRAND w cenie samochodu
Przy zakupie bez negocjacji ceny otrzymujesz 12-miesięczną gwarancję GRAND w cenie pojazdu.
Masz aż 30 000 zł na naprawy w ciągu roku.
Dlaczego warto?
• Sam wybierasz miejsce naprawy – nawet autoryzowany serwis (ASO)
• Szybka i bezproblemowa obsługa
• Indywidualny konsultant dostępny 24/7, 365 dni w roku
Więcej szczegółów przedstawi sprzedawca podczas kontaktu lub na miejscu
═══════════════════════════════════════════════
Możliwość zakupu w leasingu lub kredycie:
✅ Co nas wyróżnia? Szybkość realizacji leasingu.
✅ Szeroki zakres możliwości kredytowania/leasingu (korzystne oprocentowanie).
✅ Możliwość kalkulacji wszelkich możliwych rozwiązań np. ilość rat, wysokość wpłaty wstępnej oraz wysokości wykupu.
════════════════════════════════════════════════
Dział sprzedaży:
☎️ 608_743_687 ☎️
☎️ 780_783_050 ☎️
☎️ 516_215_863 ☎️
════════════════════════════════════════════════
Co charakteryzuje samochody z Norwegii?
✅ Najwyższe pakiety wyposażeniowe, nie spotykane w innych krajach Europy.
✅ Regularne serwisowanie zgodnie ze wszystkimi zalecaniami producenta, wyłącznie w autoryzowanych serwisach.
✅ Bezwypadkowość oraz autentyczność przebiegów.
✅ Świetny stan techniczny oraz wizualny, sprowadzamy wyłącznie nie uszkodzone egzemplarze.
════════════════════════════════════════════════
Rezerwacje:
➡️ Nasze oferty ogląda codziennie kilka tysięcy osób, dlatego więc dajemy możliwość rezerwacji pojazdu – szczegóły pod numerem telefonu do naszych sprzedawców.
════════════════════════════════════════════════
Formy płatności:
➡️ Gotówka
➡️ Przelew bankowy
➡️ Sprzedaż ratalna (kredyt lub leasing)
➡️ Możliwość pozostawienia w rozliczeniu samochodu (tylko pewne/sprawdzone samochody)
════════════════════════════════════════════════
Jazda próbna:
➡️ Zapraszamy do odwiedzin naszego salonu i bezpłatnej jazdy testowej!
Adres: 32-650 Kęty, Tadeusza Kościuszki 138
════════════════════════════════════════════════
Każdy nasz samochód przed sprzedażą jest dokładnie ozonowany, co gwarantuję czyste i sterylne wnętrze, bez zapachów, bakterii i alergenów. Większy komfort i bezpieczeństwo dla Ciebie i Twoich bliskich. Wsiadasz i jedziesz jak nowym z salonu!
Rata przedstawiona na zdjęciu ma charakter orientacyjny. Wyliczenia dla leasingu: 20% wpłaty własnej, 10% wykupu, okres 60 miesięcy. Dla kredytu: 30% wpłaty, okres 60 miesięcy. Finansowanie oferowane przez VeloBank, warunki zależne od oceny zdolności kredytowej.
DLA UŻYTKOWNIKÓW OLX – więcej zdjęć na profilu naszej firmy na naszej stronie www.firmanord.pl
Uwaga: Niniejsze ogłoszenie jest wyłącznie informacją handlową i nie stanowi oferty w myśl art. 66, § 1 Kodeksu Cywilnego. Sprzedający nie odpowiada za ewentualne błędy lub nieaktualność ogłoszenia.